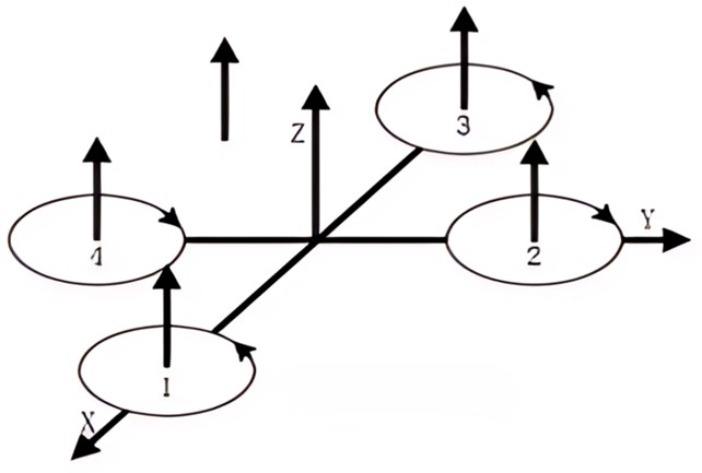
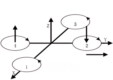
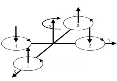
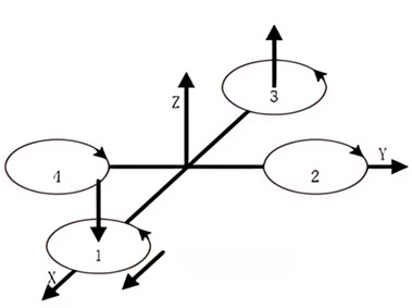
5.2 无人机飞行操控原理



jiangkai 2025年8月1日 09:24 收藏文档